螺旋-填料組合密封的設計方案
根據泵的實際操作條件和要求 ,經過比較 ,選擇矩形螺旋槽螺套式螺旋密封 ,其結構設計應滿足下列參數 : d = 180mm,Δp = 1. 0 MPa (G) ,泵轉 速 n = 18 r/ min (變化范圍 2. 3~22. 1r/ min) ,熔融 聚合物在 180 ℃的粘度η= 10 ,600 Pa·s ,密度ρ= 940 kg/ m3。密封箱總長為 165 mm。

為保證停車密封效果 ,選擇安裝兩圈軟填料,每圈填料的軸向尺寸 22mm ,填料壓蓋的壓入深度按一般選擇原則預設為 10mm ,則螺旋密封總長度應為 L = 165 - 2 ×22 - 10 = 111mm。考慮密封介質端的無效螺旋長度、填料壓蓋壓入填料函的必要深度和填料的壓縮量 ,可以認為螺旋密封的有效長度 l = L - 11 = 100mm。
根據螺旋密封主要結構參數的有關選擇原則和有關設計原則 ,并參考文獻[9 ]提供的螺旋密封零件設計參數表 ,螺旋密封的其他有關參數選取如下:
a . 密封間隙δ≈0. 30 mm。
b. 螺旋頭數 i 是根據公式 i ×l/ d > 3 選為 i = 6。
c. 相對槽寬系數 k1 = 0. 5。
d. 相對槽深系數 k2 選為 5 ,并由此求得螺 旋密封的螺旋角β= 8. 6°,槽深 h = 1. 2mm ,密封直徑 D = 183mm。
e . 槽寬 s = 7. 0mm ,齒寬 B = s = 7. 0 mm。
f. 密封圓周速度 v = πdn/ 60 = 0. 17 m/ s。
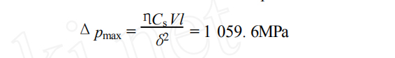
根據上述參數 ,可計算出螺旋密封在泵轉速 n = 18 r/ min 時的較大密封能力Δpmax :

顯然 ,盡管實際中還必須考慮到軸和襯套式 螺旋的加工誤差、密封的安裝誤差和空氣/ 熔體界面離開螺旋末端距離的安全限度 ,并因此必須從上式得到的計算值至少應減小 30 % ,但是上設計的螺旋密封其密封能力還是遠遠超過所需密封流體的實際壓力值。所以 ,當螺旋密封按上述參數設計且密封有效長度 l = 100mm 時 ,完全能夠保證密封達到零泄漏。
組合密封實用效果
經過實施改造方案半年多來 ,熔體泵運轉狀態良好 ,泄漏量在較初幾個月幾乎為零 ,目前的泄漏量也小于 0. 1 kg/ d ,遠遠低于 0. 5 kg/ d 的標準值 ,軸封壽命大大延長 ,消除了設備安全運行的隱患 ,從根本上解決了制約生產的難題。
熔體泵填料密封失效的根本原因是密封選型 不當;經過分析比較和實際應用 ,證明螺旋密封與填料密封的組合密封是熔體泵軸封的優先選擇形式。提出的有關螺旋密封結構參數的設計方法是 合理、實用的 ,可以應用于類似熔體泵的螺旋密封設計 ,具有重要的工程使用價值。



地 址:鄭州高新技術產業開發區長椿路11號5號樓A單元1層A1號、2層A2號
電 話:0371-67993100 67993021 67993022
傳 真:0371-67993200
手 機:18603711392 13613830727
郵 箱:haikepump@126.com